• "नींद में सुधार के लिए 5-मिथाइलटेट्राहाइड्रोफोलिक एसिड संरचना" का परिचय

    "नींद में सुधार के लिए 5-मिथाइलटेट्राहाइड्रोफोलिक एसिड संरचना" का परिचय पूर्व कला की समस्याओं को हल करने के लिए, वर्तमान आविष्कार का उद्देश्य नींद में सुधार के लिए 5-मिथाइलटेट्राहाइड्रोफोलेट संरचना युक्त एक नया फार्मास्युटिकल या स्वास्थ्य खाद्य उत्पाद प्रदान करना है जिसे लंबे समय तक लिया जा सकता है।

    Learn More
  • नींद में सुधार के अनुप्रयोगों के लिए

    नींद में सुधार के अनुप्रयोगों के लिए "5-मिथाइलटेट्राहाइड्रोफोलेट रचनाओं" पर पेटेंट बैकग्राउंडर

    नींद में सुधार के अनुप्रयोगों के लिए "5-मिथाइलटेट्राहाइड्रोफोलेट रचनाओं" पर पेटेंट बैकग्राउंडर तकनीकी फील्ड वर्तमान आविष्कार चिकित्सा के क्षेत्र से संबंधित है, विशेष रूप से, यह आविष्कार 5-मिथाइलटेट्राहाइड्रोफोलेट के नई नींद में सुधार के प्रभाव से संबंधित है। और γ-एमिनोब्यूट्रिक एसिड आदि के साथ संयोजन में इसका उपयोग।

    Learn More
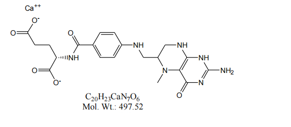
  • कैल्शियम एल-5-मिथाइलटेट्राहाइड्रोफोलेट, पार्टनर, निर्माता

    कैल्शियम एल-5-मिथाइलटेट्राहाइड्रोफोलेट, पार्टनर, निर्माता

    कैल्शियम एल-5-मिथाइलटेट्राहाइड्रोफोलेट: फोलेट अनुपूरण में एक विश्वसनीय भागीदार कैल्शियम एल-5-मिथाइलटेट्राहाइड्रोफोलेट (कैल्शियम एल-5-एमटीएचएफ) एक महत्वपूर्ण पोषक तत्व और फोलेट का एक बायोएक्टिव रूप है जो मानव शरीर में कई शारीरिक प्रक्रियाओं में महत्वपूर्ण भूमिका निभाता है। यह एक कोएंजाइम है जो विभिन्न चयापचय प्रतिक्रियाओं के दौरान एक-कार्बन इकाइयों के हस्तांतरण में भाग लेता है। इस आवश्यक यौगिक ने अपने संभावित स्वास्थ्य लाभों के कारण पोषण और स्वास्थ्य देखभाल के क्षेत्र में महत्वपूर्ण मान्यता प्राप्त की है, विशेष रूप से भ्रूण के विकास में सहायता करने, जन्म दोषों को रोकने और समग्र कल्याण को बढ़ावा देने में।

    Learn More
  • एल 5 मिथाइलटेट्राहाइड्रोफोलेट के बारे में कुछ जानकारी

    एल 5 मिथाइलटेट्राहाइड्रोफोलेट के बारे में कुछ जानकारी

    एल 5 मिथाइलटेट्राहाइड्रोफोलेट के बारे में कुछ जानकारी एल-5-मिथाइलटेट्राहाइड्रॉफ़ोलेट, जिसे आमतौर पर एल-5-एमटीएचएफ के रूप में जाना जाता है, फोलेट का एक जैविक रूप से सक्रिय रूप है जो मानव स्वास्थ्य में महत्वपूर्ण भूमिका निभाता है। फोलेट एक पानी में घुलनशील बी-विटामिन है जो विभिन्न खाद्य पदार्थों में पाया जाता है, और एक बार सेवन करने के बाद, यह शरीर में एंजाइमेटिक रूपांतरण से होकर एल-5-एमटीएचएफ, सक्रिय और उपयोगी रूप में बदल जाता है।

    Learn More
  • एल-5-मिथाइलटेट्राहाइड्रोफोलेट कैल्शियम के आपूर्तिकर्ता

    एल-5-मिथाइलटेट्राहाइड्रोफोलेट कैल्शियम के आपूर्तिकर्ता

    एल-5-मिथाइलटेट्राहाइड्रोफोलेट कैल्शियम के आपूर्तिकर्ता कैल्शियम एल-5-मिथाइलटेट्राहाइड्रोफोलेट एक महत्वपूर्ण पोषण पूरक है जो अच्छे स्वास्थ्य और प्रतिरक्षा प्रणाली के उचित कामकाज को बढ़ावा देता है। इसके अनुप्रयोगों और मांग की विस्तृत श्रृंखला के कारण, एल-5-मिथाइलटेट्राहाइड्रोफोलेट कैल्शियम उत्पादन आपूर्तिकर्ता बाजार में तेजी से महत्वपूर्ण होते जा रहे हैं।

    Learn More
  • एल-5-मिथाइलटेट्राहाइड्रोफोलेट कैल्शियम का उपयोग

    एल-5-मिथाइलटेट्राहाइड्रोफोलेट कैल्शियम का उपयोग

    एल-5-मिथाइलटेट्राहाइड्रोफोलेट कैल्शियम का उपयोग एल-5-मिथाइलटेट्राहाइड्रोफोलेट कैल्शियम, जिसे आमतौर पर एल-5-एमटीएचएफ कैल्शियम के रूप में जाना जाता है, फोलेट का एक जैविक रूप से सक्रिय रूप है जो मानव शरीर के भीतर कई जैव रासायनिक प्रक्रियाओं में महत्वपूर्ण भूमिका निभाता है। रक्तप्रवाह में पाए जाने वाले फोलेट के प्रमुख रूप के रूप में, एल-5-एमटीएचएफ कैल्शियम डीएनए संश्लेषण, अमीनो एसिड चयापचय, न्यूरोट्रांसमीटर संश्लेषण और मिथाइलेशन प्रतिक्रियाओं सहित विभिन्न शारीरिक कार्यों का समर्थन करने में एक प्रमुख खिलाड़ी है।

    Learn More
<...2526272829...98>
चलो बात करते हैं

हमलोग यहां सहायता करने के लिए हैं

संपर्क करें
 

展开
TOP